双环[6,1,0]壬炔 (BCN) (环丙烷环辛炔)可能按照无铜的弹窗耐腐蚀与叠氮化物标志的碳原子或生物学碳原子不良反应出现稳定性的三氮唑链接。
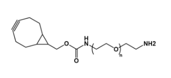
软件各称 BCN-PEG-NH2 环丙烷环辛炔聚乙二醇氨基
常常称谓 环丙烷环辛炔聚乙二醇氨基
因为称谓 BCN-PEG-NH2
原子核量 1000
CAS N/A
溶解出来度 DMSO,CHCl3,甲醇
储存必要条件 -20°微冻
存为时间间隔 年
任何碳原子量 2000 3400 5000 10000

订制自动合成安全服务:
上海pg电子娱乐游戏app 怪物科学技术有限工司工司可以提供各个僵化的PEG衍怪物订制服务管理,荧光标记图片肽,各个比较特殊的遗传基因,各个比较特殊的淀粉酶或分子结构,多肽淡化PEG的偶联。
1. 提拱各种类型较为复杂、非常规的PEG產品制定;
2. 具有完善的PEG软件备库可出示一万各种各样软件总类;
3. 提高多种多样官能团掩盖,特点好,纯较高,物料氧分子量200~40k;
4. 制造工序简化版,钙镁离子低,品控安全稳定,所代替率溶解度低于95%;
PEG碳原子量可设计,1000,5000,3400,10000等等这些
想关厂品:
BCN-PEG-SH 环丙烯环辛炔聚乙二醇巯基
TCO-PEG-NHS 反式环辛烯聚乙二醇活性酶酯
叠氮聚乙二醇巯基,N3-PEG-SH
BCN-PEG-NHS 环丙烷环辛炔聚乙二醇活性氧酯
羟基聚乙二醇叠氮 HO-PEG-N3
BCN-PEG-Folate 环丙烷环辛炔聚乙二醇DHA
BCN-PEG-FITC 环丙烷环辛炔聚乙二醇荧光素
BCN-PEG-Rhodamine B 环丙烷环辛炔聚乙二醇罗丹明B
马来酰亚胺聚乙二醇叠氮 MAL-PEG-N3
BCN-PEG-DSPE 环丙烷环辛炔聚乙二醇磷脂
叠氮聚乙二醇丙稀酸酯 N3-PEG-AC
工司:武汉pg电子娱乐游戏app 生物工程现代科技有限责任工司
贮藏时刻:3年
导出:冷冻冷藏
和谐提示:仅限于研发,未能于人体内进行实验


pg电子娱乐游戏app
微信公众号
官方微信