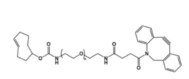
DBCO(二苯并环辛炔)也是种环炔烃,就能够按照在水饱和溶液中按照应对提高网站的1,3-偶极环加持不起作用与叠氮化物不起作用,各种动物技术正交不起作用也叫做无铜鼠标单击不起作用。 该不起作用具进行性和动物技术相溶性,从而相互依存制剂就能够与模块动物技术体统组成共价键。 无铜鼠标单击不起作用直到是无吸附剂的作用剂动物技术共轭的有效平台。 DBCO制剂在水性聚氨酯保护液中极具飞速的判断力和增强性,可以用在于以高活性朋友和不起作用性图标叠氮化物掩盖的动物技术原子。反式环辛烯(TCO)是 亲双烯体与S-四嗪(Tetrazine)在生理上具体条件下的不起作用有否需吸附剂的作用剂、不起作用带宽快的优点和缺点,被丰富利用于动物技术和资料合理的研发中。
护肤商品编码称 TCO-PEG-DBCO 反式环辛炔聚乙二醇二苯基环辛炔
中文字幕简称 二苯基环辛炔-聚乙二醇-反式环辛烯
因为各称 TCO-PEG-DBCO
分子式量 1000
手机存储生活条件 -20°冷却,干燥处理导出
永久保存精力 整年
别大分子量 2000 3400 5000 10000

个性定制分解成服务质量:
石家庄pg电子娱乐游戏app 菌物科技信息有限责任新公司提供数据繁多错综复杂的PEG衍菌物私人定制服务的,荧光标记符号肽,繁多比较特种基因组,繁多比较特种淀粉酶或分子结构,多肽装饰PEG的偶联。
1. 可以提供一些复杂化、特别的的PEG物料自定义;
2. 持有丰富的PEG產品备库可供给好几千多种多样產品用途;
3. 提高多样官能团表达,性能方面好,纯度提高,企业产品原子核量200~40k;
4. 生产的工艺设备简单化,沉淀物低,品级可靠,所代替率饱和度不低于95%;
PEG氧分子量可个性,1000,5000,3400,10000性功能下降
有关系商品:
Tetrazine-PEG-SH 四嗪聚乙二醇巯基
二叠氮聚乙二醇 N3-PEG-N3
BCN-PEG-NH2 环丙烷环辛炔聚乙二醇氨基
(4E)-TCO-PEG4-NHS ester 反式环辛烯-四乙二醇-活性酶酯
BCN-PEG-COOH 环丙烷环辛炔聚乙二醇羧基
氨基聚乙二醇叠氮 NH2-PEG-N3
BCN-PEG-Maleimide 环丙烷环辛炔聚乙二醇马来酰亚胺
羧基聚乙二醇叠氮 COOH-PEG-N3
BCN-PEG-Biotin 环丙烷环辛炔聚乙二醇菌物素
BCN-PEG-SH 环丙烯环辛炔聚乙二醇巯基
生产地:郑州
使用:仅在科研项目
暖心温馨提示牌:仅采用科技,不许采用人体内进行实验!


pg电子娱乐游戏app
微信公众号
官方微信