葡聚糖-Cy3.5,Cy3.5-Dextran,橘红色荧光Cy3.5标签葡聚糖(各种各样性能指标信心)
描写:Cy3.5图标葡聚糖是导弹发射灰色荧光的nm级荧光葡聚糖搭配物中之一。Cy3.5葡聚糖共轭物更具激活/发送光的波长约591nm/604微米。我们的出示各项催化官能化和荧光标志的葡聚糖代谢物,其光增进/发送横跨400納米至800纳米级。一些荧光中央葡聚糖按照大小不一色谱纯化,以消去非共轭有机染料原子核,并确保在体內和体內常有够了的使用。
护肤产品名号:葡聚糖-Cy3.5
英语怎么说明称:Cy3.5-Dextran
別称:桔红色荧光标注葡聚糖,荧光纺织染料Cy3.5表达葡聚糖
溶解度:95%+
外表: 膏状或黏力介质液体,考量于团伙量
产品包装:成瓶/成袋
看 黑色固态
溶解出来度 水溶
存储空间因素:-20°C,闭光,避湿
留存精力 1年
光谱:591-604nm
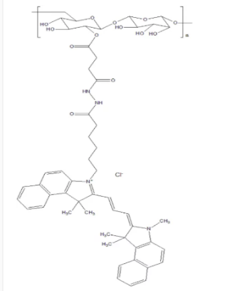
架构式:

陕西pg电子娱乐游戏app 生物技术能提供FITC/罗丹明,CY系列作品,ICG系列的,IR系列产品,近红外二区颜料,Bodipy一系列,Comarin系类, ATTO类型,AlexaFluor系统的荧光有机染料标识开发货品和荧光探头的设计糖偶联蛋白质自定义(牛血清正血清BSA、刀豆球淀粉酶酶、重组方案淀粉酶酶、肝素、卵清淀粉酶酶或多种多样另一个淀粉酶酶)
关联产品的:
壳聚糖-氨基 Chitosan-NH2
壳聚糖-羧酸 Chitosan-COOH
壳聚糖-马来酰亚胺 Chitosan-MAL
壳聚糖-N-羟基蜜腊酰亚胺 Chitosan-NHS
壳聚糖-叠氮 Chitosan-N3
壳聚糖-炔基 Chitosan-Alkyne
壳聚糖-巯基 Chitosan-SH
壳聚糖-生态学素 Chitosan-Biotin
壳聚糖-醛基 Chitosan-CHO
壳聚糖-巯基吡啶 Chitosan-OPSS
壳聚糖-羟基 Chitosan-OH
壳聚糖-酰基 Chitosan-Hydrazide
壳聚糖-硅烷 Chitosan-Silane
厂商:深圳pg电子娱乐游戏app 生物体网络有限责任新公司不低于材质 来源编辑axc,2022.09.20这些从文中提起的食品仅应使用在教育科研,没办法应使用在人体肌肉。



pg电子娱乐游戏app
微信公众号
官方微信