备孕备孕叶酸片绘制葡聚糖,Dextran-Folicacid,葡聚糖-FA,葡聚糖-备孕备孕叶酸片(多糖绘制偶联备孕备孕叶酸片个性提供服务)
石家庄pg电子娱乐游戏app 海洋生物现货供应BSA、PLGA、PCL、 PLA、Chitosan、 HRP、量子点QDs、Concanavalin A、DSPE-PEG-HA透明质酸、纳米金、Sepharose 4B、PAMAM-PEG、PAA、Ubiquitin、Albumin、PEG、PEI、PNIPAM、Dopamine、磷脂、Cisplatin顺铂、阿霉素 紫杉醇、Folate-PEG、RGD多肽、Biotin生物素 、HAS修饰/标记/改性糖
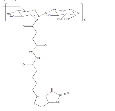
英品牌:Dextran-Folicacid
汉语名:DHA装饰的葡聚糖,葡聚糖-DHAFA
质量:90%+
溶解性:SolubleinDMSOorDMF.
保存:-20℃2年
结构设计式:

数据存储條件:-20°C,闭光,避湿
看: 胶体或黏力粘液,源于于团伙量
包裝:瓶裝/整袋
析出性:溶水大位置巧妙相转移催化剂,如:DCM、DMF、DMSO、THF之类的。在水中含有效的析出性
留意特别注意:选用某种要干涩,应对不断的分解和冻干
借款用途:仅限于科研开发科学试验采用,不需要 于诊断
门店地址:郑州
企业:绵阳pg电子娱乐游戏app 生物工程科学局限装修公司
pg电子娱乐游戏app 动物销售Alkyne 炔基,N3叠氮,氨基,Biotin生物素,NHS,HS巯基,MAL马来酰亚胺,DBCO 叶酸, 多肽PEG修饰/标记/改性糖,产品目录如下:
海藻酸钠-乙烯砜 alginate-Vinylsulfone
海藻酸钠-甲基丙烯酸酯 alginate-Methacrylate
海藻酸钠-碘乙酸盐 alginate-Iodoacetate
海藻酸钠-氯化物 alginate-Chloride
海藻酸钠-二苯基环辛炔 alginate-DBCO
海藻酸钠-反式环辛烯 alginate-TCO
海藻酸钠-四嗪 alginate-TZ
海藻酸钠-叶酸 alginate-FA
工厂:渭南pg电子娱乐游戏app 微生物高新科技非常有限我司超过素材出于楼主axc,2022.09.20上面的从文中说到的商品仅广泛采用教学科研,不广泛采用人体细胞。



pg电子娱乐游戏app
微信公众号
官方微信