巯基化葡聚糖,Dextran-SH,葡聚糖-巯基,葡聚糖-SH,Thiol-葡聚糖的存储条件
巯基化葡聚糖,Dextran-SH,葡聚糖-巯基,葡聚糖-SH,Thiol-葡聚糖的随意调节具体条件
葡聚糖(右旋糖酐)是一种多糖,具有良好的水溶性、低*性和碳原子量变化。颜料和其它的生物体碳原子体现的右旋糖酐早已成为功地用在活細胞的太久示踪剂。他们也为您的特有必须要 出示个性定制的葡聚糖成品。
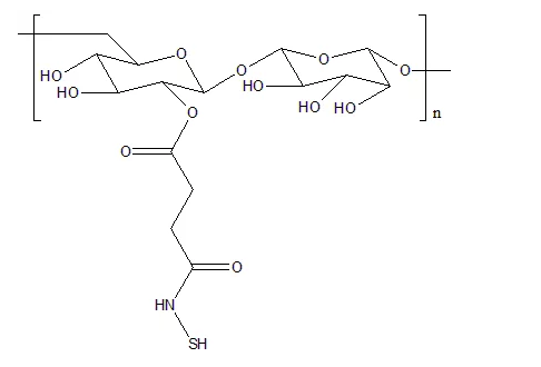
货产品命名称:葡聚糖-巯基
英语命名: Dextran-SH
又称:巯基化葡聚糖,葡聚糖-SH,Thiol-葡聚糖
色度:95%+
储存方式状况:-20°C,背光,避湿
外表: 固态物或延展性气体,决定于于大分子量
包裝:桶装/成袋
溶水性:易溶于大组成部分有机化学萃取剂,如:DCM、DMF、DMSO、THF这些。在水含有更好的溶水性
注重装修细节:取出需要变干,解决平繁的融解和冻干
的用途:仅限于科学研究实验操作便用,不同于治疗
地址查询:宝鸡
厂商:浙江pg电子娱乐游戏app 生物学自动化有限工厂工厂
构成式:

石家庄pg电子娱乐游戏app
怪物不错打造因为珠露糖呈现偶联科研课题、剂、荧光团伙、磷脂、其他小团伙有机物、整合物、多肽和球蛋白和活性酶类基团呈现等开发產品。
1:甘露糖-荧光标记物定制:FITC/TRITC/CY3/CY5/CY5.5/CY7/CY7.5/ICG/FA
2:甘露糖-聚合物定制:PEG/PEI/dextran/PLAG/PCL/PLA/PAA
3:甘露糖--多肽,蛋白定制
4:氨基酸-活性基团(NH2/MAL/COOH/NHS/N3/ALK/DBCO)定制
5:氨基酸-小分子定制(科研剂荧光分子磷脂其他小分子化合物)
产品的目录格式:| Dextran-NH2 | 葡聚糖-氨基 |
| Dextran-COOH | 葡聚糖-羧酸 |
| Dextran-MAL | 葡聚糖-马来酰亚胺 |
| Dextran-NHS | 葡聚糖-N-羟基琥珀酰亚胺 |
| Dextran-N3 | 葡聚糖-叠氮 |
| Dextran-Alkyne | 葡聚糖-炔基 |
| Dextran-SH | 葡聚糖-巯基 |
| Dextran-Biotin | 葡聚糖-生物素 |
| Dextran-CHO | 葡聚糖-醛基 |
| Dextran-OPSS | 葡聚糖-巯基吡啶 |
| Dextran-OH | 葡聚糖-羟基 |
| Dextran-Hydrazide | 葡聚糖-酰基 |
| Dextran-Silane | 葡聚糖-硅烷 |
| Dextran-Acrylates | 葡聚糖-丙烯酸酯 |
| Dextran-Lipoic acid | 葡聚糖-硫辛酸 |
| Dextran-Tosyl | 葡聚糖-甲苯磺酸酯 |

厂家:西安pg电子娱乐游戏app
生物科技有限公司


pg电子娱乐游戏app
微信公众号
官方微信