马来酰亚胺模块化葡聚糖,葡聚糖-马来酰亚胺,Dextran-MAL的要留意应当
产品的种类: 葡聚糖-马来酰亚胺,葡聚糖-MAL,马来酰亚胺的功能化葡聚糖
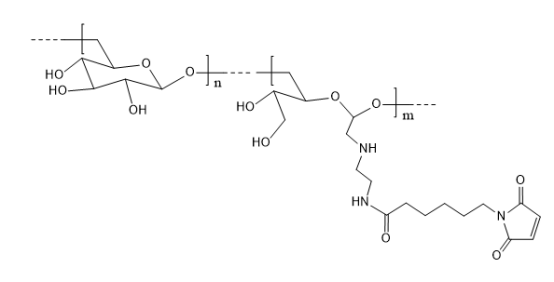
英文翻译名字:Dextran-MAL
PEG氧分子量必选:350,550,750,1k,2k,3.4k,5k,10k,20k(可按需定制网站)
含量:95%+
保存的条件:-20°C,闭光,避湿
外形: 膏状或黏性流体,考量于原子核量
包装机:罐装/成袋
融掉性:互溶大多半巧妙高沸点溶剂,如:DCM、DMF、DMSO、THF等情况。在水有良好的融掉性
重视相关事宜:拿取固定要干燥处理,解决反复的析出和冻干
应用:未经许可研发实验操作采用,免去于诊疗
地址查询:浙江
产品:宝鸡pg电子娱乐游戏app 生态学科技新公司有限的新公司
形式式

Dextran葡聚糖(右旋糖酐Dextran),是一个类具支链夏黑葡萄糖粉高聚物,他不用电荷量,呈电普通,溶解于水,葡聚糖跟PEG一件具备有比较好的微怪物相匹配性,毒副作用较低应用于于绿色身体里,葡聚糖依然是是一种微怪物可分解提原子核整合物,它可分解为低原子核的糖,我平台就能够提拱原子核量5K/10K/20K/40K/70K/100K等各个原子量的护肤品。
物料文件名:葡聚糖-二苯基环辛炔 Dextran-DBCO
葡聚糖-反式环辛烯 Dextran-TCO
葡聚糖-四嗪 Dextran-TZ
葡聚糖-DHA Dextran-FA
葡聚糖-半琥铂酸蛋白质 Dextran-CHEMS
葡聚糖-苯基 Dextran-Phenyl
葡聚糖-磷酸 Dextran-phosphoric acid
葡聚糖-次氮基三乙酸 Dextran-NTA
葡聚糖-五氟苯酚 Dextran-Pentafluorophenyl
葡聚糖-苯甲醛和苯 Dextran-Benzaldehyde
葡聚糖-亚油酸 Dextran-linoleic acid
葡聚糖-甲磺酸酯 Dextran-Mesylate
厂家:西安pg电子娱乐游戏app
生物科技有限公司



pg电子娱乐游戏app
微信公众号
官方微信