氨基夏黑匍萄糖粉是夏黑匍萄糖粉的一个羟基被氨基转变后的无机化合物。其一种氨基单糖,是人工氨基聚糖的大致的物质
常常名字大全:葡聚糖-氨基
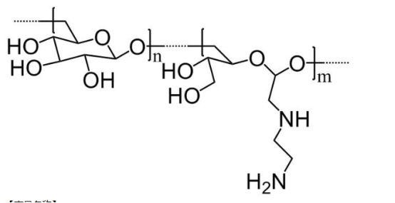
因为种类:Dextran-NH2
别名:氨基用途化葡聚糖,Amine-葡聚糖,葡聚糖-NH2
氧化学结构式:C6H13NO5
相对性状:类紫色或淡黄色的结晶体性咖啡豆。
类型:氨基提子糖硝酸钠盐、氨基提子糖硝酸盐,
Dextran-NH2、葡聚糖-氨基(氨基化葡聚糖)
葡聚糖的大分子量:4000,5000,6000,7000,9000,10000,20000,40000,70000性功能下降,可制作
氨基抗衡度为20%:如进行20000碳原子量的葡聚糖,对其做氨基化绘制,转化成度为20%,高沸点溶剂:DMSO等长规有机质稀释剂。
物理性质:针对不同于的原子核量,呈黑色/类黑色液体颗粒粉沫,或絮状液体颗粒。
可靠性:冷冻箱另存,防止频繁冻融。
组成式


广州pg电子娱乐游戏app 海洋生物有程度制成活性功能性基团的ICG诞生物软件,一般包括氨基NH2、COOH羧基、NHS活性脂、MAL马来酰亚胺、SH巯基、N3叠氮、ALK炔烃、Biotin生物技术素。各位也可以把多糖偶连不同的亲水疏水配位高原子化合物、不同的蛋清、不同的小原子、不同的多肽特点。
商品子目录:葡聚糖-氨基 Dextran-NH2
葡聚糖-羧酸 Dextran-COOH
葡聚糖-马来酰亚胺 Dextran-MAL
葡聚糖-N-羟基虎珀酰亚胺 Dextran-NHS
葡聚糖-叠氮 Dextran-N3
葡聚糖-炔基 Dextran-Alkyne
葡聚糖-巯基 Dextran-SH
葡聚糖-生物工程素 Dextran-Biotin
葡聚糖-醛基 Dextran-CHO
葡聚糖-巯基吡啶 Dextran-OPSS
葡聚糖-羟基 Dextran-OH
葡聚糖-酰基 Dextran-Hydrazide
葡聚糖-硅烷 Dextran-Silane
葡聚糖-亚克力 酯 Dextran-Acrylates
葡聚糖-硫坚辛 Dextran-Lipoic acid
葡聚糖-甲苯磺酸酯 Dextran-Tosyl
葡聚糖- Dextran-Acetylthio
葡聚糖-氨甲基 Dextran-Aminooxy
葡聚糖-硝基苯碳酸盐 Dextran-Nitrophenyl Carbonates
厂家:西安pg电子娱乐游戏app
生物科技有限公司



pg电子娱乐游戏app
微信公众号
官方微信