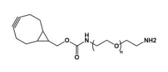
双环[6,1,0]壬炔 (BCN) (环丙烷环辛炔)是可以实现无铜的点一下药剂学与叠氮化物标出的原子或菌物原子的反应生产动态平衡的三氮唑接入。
成产品分类称 BCN-PEG-NH2 环丙烷环辛炔聚乙二醇氨基
英文版各称 环丙烷环辛炔聚乙二醇氨基
用英语名字 BCN-PEG-NH2
碳原子量 1000
CAS N/A
融解度 DMSO,CHCl3,甲醇
储存状态 -20°急冻
保管精力 年
其他氧分子量 2000 3400 5000 10000

渭南pg电子娱乐游戏app 怪物科技有效机构有效机构提拱的服务各种类型主要包括:合出磷脂、糖化工,石墨炔(graphyne)多肽、PEG衍怪物、嵌段共聚物、淀粉酶质掩盖服务、吸引力納米颗粒肥料、納米金及納米金棒、超碳原子、除静电纺丝弹性纤维膜、近红外荧光活性染料、MAX相陶瓷图片、荧光材质、光电产品相关涂料材质、纳米级涂料、金属涂料结合物荧光材质、荧光标注的葡聚糖BSA和链霉亲和素、淀粉酶热塑剂、钙钛矿、光电产品相关涂料材质、小碳原子PEG衍怪物、点开化工、树叶状缔合物、环糊精衍怪物、大环配体类、荧光量子点、黑色质酸衍怪物、纳米级涂料或脱色纳米级涂料、碳納米管、富勒烯等.
重要性物品:
BCN-PEG-Mesylate 环丙烷环辛炔-聚乙二醇-甲磺酸酯
BCN-PEG-TPP 环丙烷环辛炔-聚乙二醇-磷酸三苯酯
BCN-PEG-Dopamine/DA 环丙烷环辛炔-聚乙二醇-多巴胺
BCN-PEG-Ferrocene 环丙烷环辛炔-聚乙二醇-二茂铁
BCN-PEG-glycyrrhetinic acid/GA 环丙烷环辛炔-聚乙二醇-甘草次酸
BCN-PEG-Cyclodextrin 环丙烷环辛炔-聚乙二醇-环糊精
BCN-PEG-Choline Glycerophosphate/GPC 环丙烷环辛炔-聚乙二醇-甘磷酸胆碱
BCN-PEG-SPDP 环丙烷环辛炔-聚乙二醇-3-(2-吡啶二硫代)丙酸N-羟基虎珀酰亚胺酯
厂商:咸阳pg电子娱乐游戏app 生物体科技产业有限制单位
吸收时光:一年
上传:速冻
和睦提醒短信:仅限于成果转化,不是用到女性身体实验所


pg电子娱乐游戏app
微信公众号
官方微信