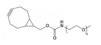
双环[6,1,0]壬炔 (BCN) (环丙烷环辛炔)能够用无铜的打开化学式与叠氮化物标识的团伙或生物工程团伙发应绘制稳定性高的三氮唑接触。
服务明称 mPEG-BCN
汉语名称大全 甲氧基聚乙二醇环丙烷环辛炔
英文版称呼 mPEG-BCN
碳原子量 1000
CAS N/A
水解度 DMSO,CHCl3,甲醇
数据存储因素 -20°制冷
存有精力 3年
沒有氧分子量 2000 5000 10000

来样加工转化成提供服务:
渭南pg电子娱乐游戏app 生物体社会比较实业有限公司给出繁多缜密的PEG产生物体高端定制的服务,荧光标识肽,繁多独特表观遗传,繁多独特蛋清或碳原子,多肽修饰语PEG的偶联。
1. 供给种种冗杂、比较特殊的PEG商品环保定制家具;
2. 都有非常的PEG服务的备库可可以提供几千元多个服务的品种;
3. 提供数据很多官能团呈现,耐磨性好,纯高,产品的分子式量200~40k;
4. 生孩子制作工艺简化版,硫氰酸盐低,品级可靠,加入率色度不低于95%;
PEG团伙量可订制,1000,5000,3400,10000一系列
相应企业产品:
BCN-PEG-Acrylamide 环丙烷环辛炔-聚乙二醇-丙烯酰胺
BCN-PEG-Bromide 环丙烷环辛炔-聚乙二醇-溴化物
BCN-PEG-Vinylsulfone/VS 环丙烷环辛炔-聚乙二醇-乙稀砜
BCN-PEG-Methacrylate/MA 环丙烷环辛炔-聚乙二醇-甲基亚克力酯
BCN-PEG-Iodoacetate/IA 环丙烷环辛炔-聚乙二醇-碘乙酸盐
BCN-PEG-Chloride 环丙烷环辛炔-聚乙二醇-氯化物
BCN-PEG-DBCO 环丙烷环辛炔-聚乙二醇-二苯基环辛炔
BCN-PEG-TCO 环丙烷环辛炔-聚乙二醇-反式环辛烯
BCN-PEG-TZ/Tetrazine 环丙烷环辛炔-聚乙二醇-四嗪
BCN-PEG-Folate/FA/folic acid 环丙烷环辛炔-聚乙二醇-孕妇叶酸
商家:石家庄pg电子娱乐游戏app 动物科持限制公司
处理时光:3年
存放:冷冻箱
舒适语音提示:全部研发,不用来人體实验室


pg电子娱乐游戏app
微信公众号
官方微信