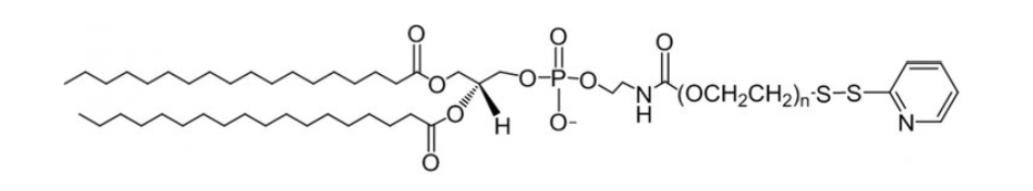
DSPE-PEG-PDP 磷脂聚乙二醇丙酰胺双巯基吡啶 DSPE-PEG-OPSS 磷脂-聚乙二醇-巯基吡啶用于靶向给药 的结构式
DSPE-PEG-PDP磷脂聚乙二醇丙酰胺双巯基吡啶DSPE-PEG-PDP DSPE-PEG-OPSS 磷脂-聚乙二醇-巯基吡啶使用在靶向疗法给药一、详细情况简介1、名称大全简体中文: 磷脂-聚乙二醇-巯基英文翻译:DSPE-PEG-PDP,DSPE-PEG-OPSS2、阐述DSPE-PEG-OPSS团伙量:10k。货品把控在95%+,通常采用教学科研實驗选择。它互溶水和缓冲液、二氯甲烷气物、氯仿、DMF、DMSO,较少互溶醇、甲苯,不互溶乙醚。货品外装为金属粉状。要在-20°微冻、遮光、皮肤干燥储存。溫馨提示卡:对此货品应现配使用,倒取后内充惰性气物,塑封膜塑封,压紧瓶盖子装到自封袋,即时植入冷柜。生产厂家:兰州pg电子娱乐游戏app
生物制品社会有限工司英文工司贷款用途:科技研究程序:固态物体/粉沫/硫酸铜溶液生产地:陕西存储时长:半年保管:保鲜贮存经济条件:-20℃机构式:



pg电子娱乐游戏app
微信公众号
官方微信