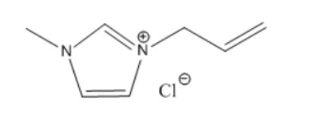
cas:65039-10-3,1-烯丙基-3-甲基咪唑氯盐,[AMIm]CI离子液体,熔点55℃
化合物液状体是超低温或恒温熔融盐,可当为浅绿色催化氧化剂和石油醚,其实运用时可基于运行的条件规划人工开据备特出职能的化合物液状体新涂料,那么被被视为“发展的萃取剂”
日语明称: 1-ALLYL-3-METHYLIMIDAZOLIUM CHLORIDE
中文公司名称: 1-烯丙基-3-甲基氯化咪唑
英文缩写:[AMIm]CI
CAS号:65039-10-3
分子结构式:C7H11ClN2
分子式量:158.63
凝固点 55℃
弯折率 1.540 (50℃)
存贮先决条件 -20°C
太敏理智 Moisture Sensitive
构成式

[AM2Im]Br cas:693226-62-9 1-烯丙基-2,3-二甲基咪唑溴盐
[AM2Im]I cas:111732-86-6 1-烯丙基-2,3-二甲基咪唑碘盐
[AM2Im]BF4 cas:640282-12-8 1-烯丙基-2,3-二甲基咪唑四氟硼酸盐
[AM2Im]NTf2 cas:1005757-37-8 1-烯丙基-2,3-二甲基咪唑双三氟甲磺酰亚胺盐
[(HOC2)MIm]Cl cas:61755-34-8 1-羟乙基-3-甲基咪唑氯盐
[(HOC2)MIm]BF4 cas:374564-83-7 1-羟乙基-3-甲基咪唑四氟硼酸盐
[(HOC2)MIm]NTf2 cas:174899-86-6 1-羟乙基-3-甲基咪唑双三氟甲磺酰亚胺盐
{(O3SC4)MIm} cas:179863-07-1 1-磺酸丁基-3-甲基咪唑内盐
[(HOOC1)MIm]Cl cas:700370-07-6 1-羧甲基-3-甲基咪唑氯盐
[(HOOC1)MIm]NTf2 cas:671793-16-1 1-羧甲基-3-甲基咪唑双三氟甲磺酰亚胺盐
[C4MPy]Cl cas:125652-55-3 1-丁基-3-甲基吡啶氯盐
[C4MPy]Br cas:26576-85-2 1-丁基-3-甲基吡啶溴盐
[C4MPy]BF4 cas:597581-48-1 1-丁基-3-甲基吡啶四氟硼酸盐
[C4MPy]PF6 cas:845835-03-2 1-丁基-3-甲基吡啶六氟磷酸
服务商:昆明pg电子娱乐游戏app 生物工程科技子公司较少子公司上资科源自彩色哥axc,2022.09.13上文从文中一说起的设备仅使适用于科研项目,无法使适用于人体肌肉。
![cas:65039-10-3,1-烯丙基-3-甲基咪唑氯盐,[AMIm]CI离子液体,熔点55℃-UDP糖丨MOF丨金属有机框架丨聚集诱导发光丨荧光标记推荐西安pg电子娱乐游戏app
生物](/images/logo.png)

pg电子娱乐游戏app
微信公众号
官方微信