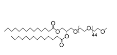
DMG-PEG3400 1,2-二肉豆蔻酰-rac-甘油-3-甲氧基聚乙二醇 DMG-PEG的结构式
DMG-PEG3400 1,2-二肉白芷酰-rac-甘油-3-甲氧基聚乙二醇 DMG-PEG中文翻译品牌:1,2-二肉肉豆蔻酰-rac-甘油-3-甲氧基聚乙二醇英文翻译名称大全:DMG-PEG领域:阳铝离子脂质体、siRNA脂质体、 mRNA脂质体等有机化学相转移催化剂:甲醇,氯仿,温水等常见有机化学有机化学相转移催化剂。物理性质:来源于不相同的大分子量,呈灰白色的/类灰白色的气体颗粒,或浓稠气体。稳定可靠性:冷冻熟食存储,以免 致使反复冻融。还要注意问题:逃避与强酸强碱性、强碱性、强硫化性化学物质使用层面:科技创新级成分式:



pg电子娱乐游戏app
微信公众号
官方微信