DSPE-PEG2000-CHO|磷脂-聚乙二醇-醛基DSPE-PEG-CHO
DSPE-PEG2000-CHO 磷脂-聚乙二醇-醛基DSPE-PEG-CHO
中文字幕名号:磷脂-聚乙二醇-醛基
英文名称:DSPE-PEG-CHO
睡眠状态:粉色物质或者是黏黏流体,决定于于碳原子量程度
碳原子量:长规碳原子量或定制开发
溶解完性:混溶大一部分可挥发稀释剂,混溶水。
保持条件:0℃长期保存,避光,干燥。
特别留意细节:提取某种要干燥处理,预防反复的溶解完和冻干
纯度(PEG):95%以上
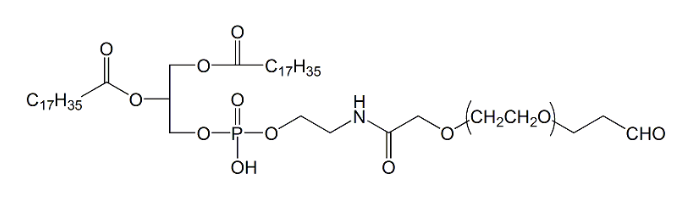
设计式:
类别:科学研究级
产品说明:共轭聚乙二醇是磷脂和聚乙二醇结合具有亲水性和疏水性,是功能化聚乙二醇制剂,聚乙二醇磷脂脂质体形成优质材料,可用于药物输送、基因转染和疫苗传递。聚乙二醇化磷脂能**改善血液循环时间和稳定封装药物,这些材料还可通过修改与目标表面配体如抗体、多肽、脂质体,用于靶向给药。
生产基地:石家庄
销售商:广州pg电子娱乐游戏app 海洋生物科技装修公司装修公司受限装修公司
和谐温馨显示信息:仅适用到科研管理科学试验,无法适用到身体!
有关系车辆:
NH2-PEG2000-PEI25000
SH-PEG2000-TPP
PLL180-PEG45-cRGD
NHS-TK-PEG1000-Mal
PLGA55K-PEG5K(50/50)
DSPE-PEG2K-Angiopep 2
DBCO-PEG4-MAL


pg电子娱乐游戏app
微信公众号
官方微信