DMG-PEG-2000|磷脂-聚乙二醇|DMG-PEG2k
英文版分类:二硬脂酰磷脂酰无水乙醇胺-聚乙二醇,阳亚铁离子脂质DMG-PEG2000
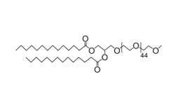
中文翻译名称大全: 1,2-二肉豆蔻年华酰-rac-甘油-3-甲氧基聚乙二醇2000
英语翻译名字:DMG-PEG2000
电化学名号: 1,2- dimyritoyl-rac-glycero-3-methoxypolyethyleneglycol-2000
Polyethylene glycol [PEG] 2000 dimyristoyl glycerol [DMG]
好产品设计:1g、500mg(可根据要求定制规格)
化学结构式式: C34H66O:(C2H4O)n, n≈44
的用途:阳铁离子脂质体、siRNA脂质体、 mRNA脂质体等
高沸点萃取剂:甲醇,氯仿,冷水等规范化无机高沸点萃取剂。
特性:研究背景的不同的原子量,呈灰灰白色/类灰灰白色气体粉丝,或浓稠液态物质。
固确定:冷冻冰箱储存,尽量避免不停冻融。
特别注意要点:避开与碱性、碱性、强空气氧化性有害物质交往
设备构造式:
的产品讲述:DMG-PEG2000在方中的功效1是避免阿尔法粒子间涌入,第二是利用率PEG2000的“隐型”功效进行长循环往复及闪避靶点。DMG-PEG2000可拉低脂质体与神经组织间的相互之间功效及吸咐ApoE的的能力,此外,施用所含短酰基链(C14的M)的聚乙二醇脂质,可在进行体內肇事逃逸的此外快解离,体內半衰期<30min,领取的肝神经组织什么是基因沉睡感觉。
產品活力性: DMG-PEG 2000用在siRNA转染(siRNA delivery)的脂质体的配制,是可改善转染生产率。DMG-PEG 2000也可被用在脂质纳米级技术粉末配制,用在口服方式质粒DNA的人体传导条件, DMG-PEG 2000可改善纳米级技术粉末的分必物通透性和性和传导生产率。
制造地:深圳
出售商:武汉pg电子娱乐游戏app 生物体科技企业非常有限企业
贴心显示信息:仅使用科研工作!
相关内容产品的:
ICG-PEG2K-SH
Gold Nanoparticles,Au-PEG2000-NH2(10nm)
DSPE-PEG-肝素 MW:2K
mPEG2K-COOH
mPEG5K-COOH
DSPE-SS-mPEG MW:2K
PCL6.6K-PEG2K-NH2
DMG-PEG2000
mPEG2000-酰胺丁二酸
DSPE-PEG5000-序列c(RGDyC)
PCL10000-mPEG5000
脱硫生物素-PEG5000-SH


pg电子娱乐游戏app
微信公众号
官方微信