点击化学DBCO-PEG3-Maleimide|二苯并环辛炔-三聚乙二醇-马来酰亚胺|DBCO-PEG3-马来酰亚胺
DBCO-PEG3-Maleimide|二苯并环辛炔-三聚乙二醇-马来酰亚胺|DBCO-PEG3-马来酰亚胺
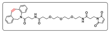
叙述:打开网页普通机械——二苯并环辛炔 (DBCO, Dibenzocyclooctyne) 使用不可铜阴阳离子促使的叠氮-炔环增加 (SPAAC) 想法,该想法的三级想法发动机学常数高达到,DBCO类别车辆例如可使用进每一步接的 DBCO-acid、DBCO-amine、DBCO-PEG-COOH、DBCO-PEG-amine,及及DBCO标记图片的 biotin、荧光有机染料和生化学小原子等。常常各称:二苯并环辛炔-三聚乙二醇-马来酰亚胺因为分类:DBCO-PEG3-Maleimide外表:淡黄色或白色的固体颗粒碳原子式:C34H38N4O8团伙量:630.69保存必要必要条件:-20°C黑喑必要必要条件下组成部分式


pg电子娱乐游戏app
微信公众号
官方微信