上海pg电子娱乐游戏app 怪物提拱黑色金属材质卟啉协调物,黑色金属材质卟啉納米晶、納米棒,納米pe膜材料及卟啉MOF,COF,HOF的配体材料,
聚吡咯就是一种**的长程共轭配位高分子所有护肤品,兼有**的光电子特点,仅是聚吡咯举例ip产业物在相转移催化剂中的溶化性和细化安全稳明确较强,受限制了其在非线形范畴的APP。
目前最普遍的解决方法是对聚吡咯表面进行修饰,主要包括共价修饰和非共价修饰。共价修饰中所需合成步骤一般较为复杂,且会对本征电子结构造成破坏。大部分非共价修饰(如π-π堆积作用、静电作用、氢键作用等)不仅使合成简单化,而且几乎不会破坏本征电子结构。
卟啉兼有特异的二维共轭大环π电商成分,根据特异的电商离域角色,使其在非线型光学薄膜方向兼有内在的的科研價值。
本文合成了一种通过非共价键结合的四苯基卟啉-聚吡咯纳米复合材料,并对材料进行红外、拉曼、扫描电镜、热重等表征。用Z扫描化工技术在4ns、532nm激光脉冲下测试了该复合材料的非线性光学性能。结果发现,四苯基卟啉聚吡咯纳米复合材料具有良好的非线性光学性能。
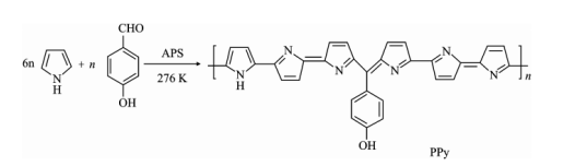
下面的图是ppy与TPP用非共价π-π 堆砌效果自主装人工的TPP/PPY微米挽回原料的结构设计提示图。

TPP/PPY微米复合型材料的设计图示图
1.实验室区域
1.2实验室的方法
1.2.1 聚吡咯衍生物(PPy)的制备
步骤之一一、 在100ml小烧杯杯,进入100mg吡咯,30.35mg对羟基苯甲醛危害,30mg四丁基碘化铵,15ml去铁离子水和15ml三氯 二氧化氮, 冰浴混合至完完全全融掉。
方法步骤二、通过生活缓慢下载溶有2g 过硝酸钠铵的5ml去阳离子水和5ml三氯丁烷混合着液, 冰浴必要条件下不起作用24h。 能够得到粗服务。
步三、粗类产品先后顺序清水、二氯甲 烷干洗反复。 常温下真空泵太干過夜。
1.2.2 Tpp/PPy纳米复合材料的合成
方法流程一、100ml烧瓶中,申请加入15ml去化合物水,15ml氯仿,30mg四丁基碘化铵( 成为相转换催化反应剂), 彩超至彻底析出。
部骤二、冰浴(3 ℃)绞拌,进入100mg 吡咯30.35mg对羟基苯装修甲醛22.73mg四苯基卟啉。
过程三、将1.7g过硝酸钠铵不能溶解15ml去正离子泥里,并逐嘀嘀打车加到上面的混杂液中,加入适量完延续冰浴症状12h,抽滤得出粗厂品。操作步骤四、粗品牌从左到右用水量、二氯甲烷气体、无水甲醇清洗曾多次。 恒温下真空泵粗糙過夜

2.PPy、Tpp 各种 Tpp/PPy 纳米技术pp的原材料的红外光谱仪。

3.PPy 和 Tpp/PPy 黏结材料咖啡豆做好了拉曼光谱分析定性分析

4.PPy 和 Tpp/PPy 两者涂料的复印电镜图,这当中图 A 和图 C 为纯 PPy 的分子运动形貌图。

In-In(TCPP)-MOF和In-Co(TCPP)-MOF
(Cu,Mn,Ni)的卟啉配体对Zr基二维MOFsnm片(Zr-BTB)做出突显
贴心信息提示:
陕西pg电子娱乐游戏app 微生物技术有限的厂家供应信息的食品仅用以教学科研,不能够用以人体本身**、**发掘技术、和另外的金融业借款作用,见谅消费方或第3个方采买我厂家的食品用以**、**发掘技术或金融业借款作用,消费方或第3个方将承担者所以中国法津负责,我厂家也将追求其中国法津负责,本文所发布的文章均为促进同行的交流与学习。axc


pg电子娱乐游戏app
微信公众号
官方微信